Administratie
𝐂𝐉 𝐏𝐫𝐚𝐡𝐨𝐯𝐚 𝐚 𝐚𝐩𝐫𝐨𝐛𝐚𝐭 𝐥𝐢𝐬𝐭𝐚 𝐥𝐨𝐜𝐚𝐥𝐢𝐭𝐚𝐭𝐢𝐥𝐨𝐫 𝐜𝐚𝐫𝐞 𝐯𝐨𝐫 𝐩𝐫𝐢𝐦𝐢 𝐟𝐨𝐧𝐝𝐮𝐫𝐢 𝐧𝐞𝐫𝐚𝐦𝐛𝐮𝐫𝐬𝐚𝐛𝐢𝐥𝐞 𝐩𝐞𝐧𝐭𝐫𝐮 𝐩𝐫𝐨𝐢𝐞𝐜𝐭𝐞 𝐝𝐞 𝐞𝐟𝐢𝐜𝐢𝐞𝐧𝐭𝐢𝐳𝐚𝐫𝐞 𝐞𝐧𝐞𝐫𝐠𝐞𝐭𝐢𝐜𝐚 𝐚 𝐦𝐚𝐢 𝐦𝐮𝐥𝐭𝐨𝐫 𝐜𝐥𝐚𝐝𝐢𝐫𝐢 𝐩𝐮𝐛𝐥𝐢𝐜𝐞
12 oraşe şi comune din Prahova urmează să primească finanţări nerambursabile pentru pregătirea unor proiecte de eficientizare energetică a 26 de clădiri publice, prin programul ELENA – European Local Energy Assistance, derulat de Agenția pentru Dezvoltare Regională (ADR) Sud Muntenia în parteneriat cu Consiliul Judeţean (CJ) Prahova.
ELENA este un program european care vizează, prin asistenţă tehnică, să sprijine administraţiile regionale sau locale la accelerarea programelor de investiţii în domeniul eficienţei energetice şi utilizării surselor de energie regenerabile. Finanţarea programului este bazată pe un Acord semnat între Banca Europeană de Investiții (BEI) și Comisia Europeană (CE) și are ca scop pregătirea de proiecte în domeniul eficienței energetice și a transportului public.
Astfel, cele 12 autorităţi publice locale din judeţ vor primi bani de la BEI pentru a pregăti proiectele de reabilitare energetică, lucrări ce ar urma să se deruleze în viitoarea sesiune de programare.
Contractul de finanţare dintre ADR Sud-Muntenia şi Banca Europeană de Investiţii a fost semnat deja, în decembrie 2021, şi asigură fonduri pentru servicii de întocmire a auditului energetic, expertizei tehnice și documentației de avizare a lucrărilor de intervenție.
Lista finală a clădirilor pentru care vor fi realizate aceste operaţiuni, premergătoare lucrărilor de renovare în vederea creşterii eficienţei energetice, a fost aprobată de către consilierii judeţeni, în şedinţa extraordinară, din 02 februarie.
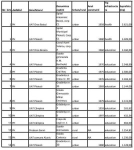
𝑳𝒊𝒔𝒕𝒂 – 𝒊𝒏𝒔𝒕𝒊𝒕𝒖𝒕𝒊𝒊𝒍𝒆 𝒑𝒖𝒃𝒍𝒊𝒄𝒆 𝒗𝒊𝒛𝒂𝒕𝒆, 𝒅𝒊𝒏 𝒄𝒆𝒍𝒆 12 𝒖𝒏𝒊𝒕𝒂𝒕𝒊 𝒂𝒅𝒎𝒊𝒏𝒊𝒔𝒕𝒓𝒂𝒕𝒊𝒗 𝒕𝒆𝒓𝒊𝒕𝒐𝒓𝒊𝒂𝒍𝒆, 𝒔𝒖𝒏𝒕 𝒑𝒓𝒆𝒛𝒆𝒏𝒕𝒂𝒕𝒆 𝒊𝒏 𝒊𝒎𝒂𝒈𝒊𝒏𝒊𝒍𝒆 𝒂𝒕𝒂𝒔𝒂𝒕𝒆.


Detalii găsiţi şi pe site-ul CJ Prahova: https://cjph.ro/consiliul-judetean-prahova/consiliul-judetean/sedinte/proiecte-de-hotarare-consiliul-judetean-prahova/
Administratie
Sediul modern al Secției 9 Poliție București: O investiție în siguranță și performanță
Bucureștiul se bucură de o nouă infrastructură vitală pentru siguranța publică. Secția 9 de Poliție a capitalei a fost dotată cu un sediu complet modern, un proiect ce marchează o investiție semnificativă în condițiile de lucru ale polițiștilor și, implicit, în beneficiul direct al cetățenilor. Ministrul de Interne, Cătălin Predoiu, prim-vicepreședinte PNL, a subliniat că această realizare reprezintă o „investiție concretă în siguranța publică și în condiții mai bune de lucru pentru polițiști”.
O clădire nouă, din temelii, finanțată strategic
Noua clădire a Secției 9 Poliție nu este doar o renovare, ci o reconstrucție integrală. Vechiul imobil a fost demolat, iar în locul său a fost ridicată o structură modernă, adaptată nevoilor actuale. Proiectul a avut o valoare totală de 46 de milioane de lei și a fost finanțat în cadrul unui program amplu de investiții derulat de Ministerul Afacerilor Interne în parteneriat cu Banca Mondială.
Acest program a demonstrat deja o eficiență considerabilă. Conform declarațiilor oficiale, în perioada 2023-2025, prin intermediul său, au fost recepționate nu mai puțin de 78 de obiective. Valoarea totală a acestor investiții se ridică la impresionanta sumă de 183 de milioane de euro, destinate structurilor esențiale de ordine publică și siguranță națională, incluzând Poliția, Jandarmeria, Poliția de Frontieră și Imigrări.
Apel la profesionalism: Standardul clădirii cere standard profesional
Cu ocazia inaugurării, ministrul Predoiu a transmis un mesaj clar și direct către membrii Poliției Române. „Standardul clădirii a crescut; să crească și standardul profesional, zi de zi”, a declarat oficialul. El a accentuat că o dotare modernă este doar un instrument, iar diferența esențială o face modul în care forțele de ordine intervin: „rapid, corect, ferm, fără abuzuri și cu respect pentru cetățean.”
Siguranță crescută și încredere consolidată în comunitate
Ministrul de Interne s-a declarat mulțumit de faptul că încrederea publicului în Poliția Română este în creștere, felicitând toți colegii implicați. Cu toate acestea, obiectivul rămâne ambițios: „mai multă siguranță în comunități și rezultate vizibile pentru fiecare leu investit”.
Noul sediu al Secției 9 Poliție, care va deservi nevoile de siguranță ale aproximativ 120.000 de bucureșteni, reprezintă un pas concret în atingerea acestor obiective. Cătălin Predoiu a mulțumit partenerilor și tuturor celor implicați în proiect, urând succes colectivului Secției 9 în operarea acestei noi facilități. (Paul D.).
Administratie
Centrul pentru Mari Arși Copii avansează rapid: Ministrul Rogobete confirmă 40% progres fizic
Bucureștiul este martorul unor progrese semnificative în construcția Centrului pentru Mari Arși Copii de la Spitalul Clinic de Urgență „Grigore Alexandrescu”. Ministrul Sănătății, Alexandru Rogobete, a vizitat recent șantierul, exprimându-și optimismul cu privire la stadiul lucrărilor. „Avansăm. Și se vede”, a declarat ministrul, subliniind că, în doar câteva luni, proiectul a atins un progres fizic de 40%. Această evoluție rapidă indică o structură deja ridicată și spații conturate, transformând promisiunile de pe hârtie în realități concrete.
Capacități extinse pentru cazuri severe
Noul centru este conceput pentru a trata cazuri severe la cele mai moderne standarde. Acesta va dispune de 10 paturi pentru pacienți critici, 14 paturi de terapie intermediară și 10 paturi dedicate microchirurgiei. De asemenea, vor fi disponibile 2 săli de operație specializate, o secție ATI cu 36 de paturi și un bloc operator cu 8 săli de intervenție. Toate aceste facilități vor fi integrate funcțional cu spitalul existent, asigurând acces direct către UPU și circuite medicale optime.
Infrastructură resilientă pentru siguranță sporită
Pe lângă dotările medicale, proiectul pune un accent deosebit pe autonomia și securitatea infrastructurii, esențiale în situații de criză. Centrul va beneficia de o centrală proprie pe gaz, cu rezervă pe motorină, un puț forat și rezerve de apă potabilă de 200 mc, precum și circuite separate pentru apa menajeră. Această abordare subliniază importanța construirii unei infrastructuri responsabile, capabile să funcționeze chiar și atunci când sistemul este pus la încercare.
Ministrul Rogobete a recunoscut că „nu putem repara totul peste noapte”, dar a reiterat angajamentul de a construi „capacități reale care salvează vieți”, exprimând încrederea în succesul acestui proiect vital pentru sănătatea copiilor din România.
Administratie
Salvare pentru crescători: Termenul de finalizare a investițiilor în sectoarele suin și avicol, prelungit
O veste excelentă sosește pentru fermierii români: Ministerul Agriculturii și Dezvoltării Rurale (MADR) a anunțat prelungirea termenului de finalizare a investițiilor pentru programele de susținere a sectoarelor suin și avicol. Decizia oferă beneficiarilor un răgaz esențial pentru implementarea proiectelor și accesarea fondurilor, o oportunitate crucială pentru modernizarea și eficientizarea fermelor din țară.
Răgaz vital pentru investiții strategice
Prelungirea termenului vine în întâmpinarea dificultăților întâmpinate de investitorii din aceste sectoare cheie ale agriculturii românești. Industria cărnii de porc și cea de pasăre joacă un rol fundamental în asigurarea securității alimentare, iar sprijinul continuu este considerat vital pentru atingerea obiectivelor naționale.
Ministrul Florin Barbu: „Nu ne permitem să pierdem niciun proiect!”
Ministrul Agriculturii, Florin Barbu, a explicat rațiunea din spatele acestei decizii. „Prioritatea noastră este să ne asigurăm că alimentele care ajung pe masa românilor provin din fermele noastre, iar pentru asta trebuie să fim alături de investitori până la capăt”, a declarat oficialul. El a subliniat că ministerul a înțeles „dificultățile reale cu care se confruntă beneficiarii acestor programe” și a decis să le ofere „răgazul necesar pentru a finaliza investițiile”.
Mesajul ministrului este clar: „Nu ne permitem să pierdem niciun proiect care contribuie la atingerea obiectivelor noastre strategice: asigurarea necesarului de consum de carne din producție internă”. Această hotărâre reflectă angajamentul de a susține producția locală și de a reduce dependența de importuri, consolidând astfel poziția fermierilor români pe piața internă.
Prelungirea termenului este așteptată să deblocheze numeroase investiții, contribuind la creșterea competitivității și la modernizarea capacităților de producție din sectoarele suin și avicol.
-
Exclusivacum o ziClanul contabililor fericiți” din Boldești-Scăeni: Cifra de afaceri a rudei, profitul din banii publici!(I)
-
Exclusivacum 4 zileCircul de la Ploiești: Poliția Locală Ploiesti, azilul „ospătarilor” și coșmarul paraclinicilor politic activi – Statul de drept, în vacanță la „Revelion”!
-
Exclusivacum o ziIPJ Prahova: „Clanul nod în papură” – Când moralitatea e o păpușă gonflabilă și poliția, o afacere de „famiglie”!
-
Exclusivacum 4 zilePenitenciarul Giurgiu: Unde „spionii” au rămas fără baterii, iar informațiile critice mor pe drumul spre sefi
-
Exclusivacum o ziIPJ Prahova: „Clanul nod în papură” contra adevărului! Când amenințările legale vin de la… analfabeții juridici în uniformă!
-
Exclusivacum 4 zileSCANDAL NAȚIONAL! „LEGEA MARIO”: FARSA MACABRĂ A STATULUI ROMÂN! CUM NE-A MĂCELĂRIT COPIII, APOI NE VINDE PEDEPSE PENTRU PROPRIA-I INCOMPETENȚĂ!
-
Exclusivacum o ziVărbilău S.A. – Apă fără acte, balastieră cu acte, iar candidații se dau fecioare politice”
-
Exclusivacum 2 zileMAI, CAMPION LA JAF LEGALIZAT: Cum Ministerul fura 50% din salariul polițiștilor, cu justiția la mână!



